Videoumschalter ohne Relais?

Im Unterforum Projekte im Selbstbau - Beschreibung: Selbstbau von Elektronik und Elektro

Elektronik Forum Nicht eingeloggt       Einloggen       Registrieren




[Registrieren]      --     [FAQ]      --     [ Einen Link auf Ihrer Homepage zum Forum]      --     [ Themen kostenlos per RSS in ihre Homepage einbauen]      --     [Einloggen]

Suchen


Serverzeit: 25 10 2025  04:24:37      TV   VCR Aufnahme   TFT   CRT-Monitor   Netzteile   LED-FAQ   Oszilloskop-Schirmbilder            


Elektronik- und Elektroforum Forum Index   >>   Projekte im Selbstbau        Projekte im Selbstbau : Selbstbau von Elektronik und Elektro

Gehe zu Seite ( Vorherige Seite 1 | 2 )      


Autor
Videoumschalter ohne Relais?
Suche nach: relais (22556)

    







BID = 44246

stephanmunz

Gerade angekommen


Beiträge: 19
 

  


Hi,

super! Aber wie genau meint Ihr das mit der Masse dazwischen? Hab das nicht so ganz verstanden.

viele Grüße

Stephan Munz

BID = 44249

2SJ200

Schreibmaschine

Beiträge: 1942
Wohnort: Österreich

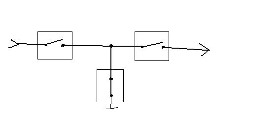
so mein ichs, gezeichnet is es in AUS stellung, bei EIN sind alle schalter umgekehrt - wenn der schalter jetzt aus is wird durch den gegen amsse des bissal was doch noch durchkann kurzgeschlossen und is damit auch weg...

Hochgeladenes Bild : wrq.JPG

BID = 44250

stephanmunz

Gerade angekommen


Beiträge: 19

Hi,

Jo, das könnte funktionieren. Mit welchem Bauteil schaltest du aber am geschicktesten die Masse durch?

viele Grüße

Stephan Munz

BID = 44251

2SJ200

Schreibmaschine

Beiträge: 1942
Wohnort: Österreich

4066, genau wie alle anderen schalter

BID = 44252

stephanmunz

Gerade angekommen


Beiträge: 19

Hi,

Achso, und davor eben das Signal invertieren .

viele Grüße

Stephan Munz

Noch was, kann ich mit den 4066 sowohl + als auch - schalten?

BID = 44253

2SJ200

Schreibmaschine

Beiträge: 1942
Wohnort: Österreich

na nix invertieren ...

einfach so wies gezeichnet is

der 4066 kann so schalten wie er versorgt wird

BID = 44255

stephanmunz

Gerade angekommen


Beiträge: 19

Hi,

doch eigentlich schon. 2 müssen geschalten werden und der andere muss genau invers dazu geschalten werden. Damit Masse anliegt wenn die anderne offen sind. (Ich will am Schluß nur Taster verwendne über nen BCD Zähler).

kann ich mit den 4066 sowohl + als auch - schalten?

viele Grüße

Stephan Munz

[ Diese Nachricht wurde geändert von: stephanmunz am 22 Dec 2003 18:32 ]

BID = 44266

2SJ200

Schreibmaschine

Beiträge: 1942
Wohnort: Österreich

aso manst dud es ja dann inverteiren ;)

also - der 4066 kann schalten mit was er versorgt wird - hab ich schon gesagt...

versorgst du ihn mit + und - schaltet er dir auch + und - ;)

BID = 44270

stephanmunz

Gerade angekommen


Beiträge: 19

Hi,

ich danke dir Hat mir sehr geholfen!

Ich nehm mal an, dass ich Audio genauso mit der Schaltung schalten kann. Brauch halt nur ne Menge 4066's für 4 - 6 cams audio und video da ich ja beide Anschlüsse von nem cinch schalten muss.

viele Grüße

Stephan Munz

BID = 44271

2SJ200

Schreibmaschine

Beiträge: 1942
Wohnort: Österreich

versuchs halt mal ohne dem mit der amsse, dan reichen für biuld&ton 12 4066, ton habich noch nie so wirklich damit geschalten, dh. schon aber des war auf einen TBA120 in am alten TV, ob des so die hochqualitätsschaltung is najo :D

BID = 44272

stephanmunz

Gerade angekommen


Beiträge: 19

Hi,

aber dennoch sollte ich pro Signal 2 Schalter hintereinander schalten? Wär vielleicht geschickter?

viele Grüße

Stephan Munz

BID = 44273

2SJ200

Schreibmaschine

Beiträge: 1942
Wohnort: Österreich

najo du hast aber auch im durchlassbetrieb also bei geschlossenen schaltern dann doppelte verluste - so günstig is des auch wieder nicht...

BID = 44296

Jornbyte

Moderator



Beiträge: 7299

Defektes Modem, deshalb nicht immer da :(

Schau mal auf http://www.jornbyte.de

Da ist eine Kreuzschiene für 8x8 Ein-Ausgänge. Die LP ist nicht auf dem neusten Stand. Da alle Daten vorhanden sind, ist ein neues Routen kein Problem. Wenn noch Fragen sind, beantworte ich sie gern :)

_________________
mfg Jornbyte

Es handelt sich bei dem Tipp nicht um eine Rechtsverbindliche Auskunft und
wer Tippfehler findet, kann sie behalten.

BID = 44302

perl

Ehrenmitglied



Beiträge: 11110,1
Wohnort: Rheinbach


Zitat :
Mit welchem Bauteil schaltest du aber am geschicktesten die Masse durch?


Wenn Du damit die Signalmasse meinst, die wird überhaupt nicht gesachaltet, sondern alle Abschirmungen sind und bleiben miteinander verbunden.


Zitat :
noch was, kann ich mit den 4066 sowohl + als auch - schalten?

Das Signal und auch die Steuerspannungen müssen innerhalb der durch die Betriebsspannung vorgegebenen Grenzen bleiben.

Da Du wahrscheinlich nur 0V und +9V hast, darf auch die Signalspannung nur 0 bis +9V betragen.
Für die Videosignale ist das kein Problem, da sie stets positiv sind.
Bei den NF-Signalen kann man sich behelfen, in dem man das Signal über Kondensatoren ein- und auskoppelt.
Mit einem hochohmigen Spannungsteiler erzeugt man eine Hilfsspannung in Höhe der etwa halben Speisespannung.
Die Schalterseite der Koppelkondensatoren wird über hochomige Widerstände mit dieser Hilfsspannung verbunden.
In diesem Fall darf auch der mittlere "Kurzschliesser" nicht nach Masse schalten, sondern muß auf die Hilfsspannung durchschalten.


Ein paar Tips, falls Du nicht die Entwicklung von Jornbyte verwenden willst:

Den Aufbau würde ich auf einer Rasterplatte mit Lötpunkten vornehmen.
IC-Fassungen verwenden !
Zur Anordung der ICs würde ich vorschlagen die Eingangsschalter in die erste IC-Reihe zu legen, die Kurzschließer in die zweite Reihe und die Ausgangsschalter in die dritte Reihe.
Wenn dabei in jeder Reihe ein paar Schalter unbenutzt sind, ist das kein Beinbruch. Man legt deren Anschlüsse einfach auf Masse.

Jede IC-Reihe bekommmt eine gerade durchgehende Masseleitung (Pin 7, evtl. blanken Schaltdraht verwenden) und eine gerade durchgehende Plusleitung (Pin14).
Die Masse- und Plusleitungen der verschiedenen Reihen werden mit ebenfalls geraden Drähten miteinander verbunden, sodaß ein Plus und ein Minus Gitternetz entstehen. Neben jedem IC wird das Plus und das Minusgitter mit einem Keramikkondensator von 20 bis 100 nF verbunden.
Erst wenn dieses Versorgungs- und Massegitter "steht" und mit Ohmmeter auf Richtigkeit und Kurzschlüsse geprüft ist, beginnt man mit der Verdrahtung der Signale.

Dabei geht Kürze vor Schönheit !
Also ruhig die Drähte kreuz und quer legen. Lange Drähte und Leitungsbündel verursachen nur Probleme.

In die Plusleitung der Batterie solltest Du einen Widerstand 470 Ohm bis 2k Ohm und evtl. eine LED legen. Die Schaltung mit 4066 oder 74HC4066 verbraucht so wenig Strom, daß die LED normalerweise höchstens ganz schwach oder garnicht leuchtet. Leuchtet sie normal, ist etwas faul.

Der Widerstand ist auch ohne LED erforderlich. Er verhindert, daß die Schaltungen durch einen dieser Technik eigenen Fehlermechanismus zerstört werden.
Dieser Fehler kann z.B. auftreten, wenn Signale bei angelegter Speisespannung gestöpselt werden.

Damit die LED im Normalbetrieb keinen Spannungsabfall verursacht, kann man sie z.B. mit einem 10k Ohm Widerstand überbrücken.

_________________
Haftungsausschluß:



Bei obigem Beitrag handelt es sich um meine private Meinung.



Rechtsansprüche dürfen aus deren Anwendung nicht abgeleitet werden.



Besonders VDE0100; VDE0550/0551; VDE0700; VDE0711; VDE0860 beachten !


Vorherige Seite      
Gehe zu Seite ( Vorherige Seite 1 | 2 )
Zurück zur Seite 0 im Unterforum          Vorheriges Thema Nächstes Thema 


Zum Ersatzteileshop


Bezeichnungen von Produkten, Abbildungen und Logos , die in diesem Forum oder im Shop verwendet werden, sind Eigentum des entsprechenden Herstellers oder Besitzers. Diese dienen lediglich zur Identifikation!
Impressum       Datenschutz       Copyright © Baldur Brock Fernsehtechnik und Versand Ersatzteile in Heilbronn Deutschland       

gerechnet auf die letzten 30 Tage haben wir 12 Beiträge im Durchschnitt pro Tag       heute wurden bisher 1 Beiträge verfasst
© x sparkkelsputz        Besucher : 185994534   Heute : 1758    Gestern : 12637    Online : 132        25.10.2025    4:24
10 Besucher in den letzten 60 Sekunden        alle 6.00 Sekunden ein neuer Besucher ---- logout ----viewtopic ---- logout ----
xcvb ycvb
0.0763819217682