Backofen-Kochfeld Kombi als getrennte Geräte an zwei Leitungen betreiben Im Unterforum Elektroinstallation - Beschreibung: Alles über Installation
Achtung immer VDE beachten !!
| Autor |
Backofen-Kochfeld Kombi als getrennte Geräte an zwei Leitungen betreiben Suche nach: backofen (4176) kochfeld (2250) |
|
|
|
|
BID = 1014558
tuxware Gerade angekommen
Beiträge: 6 Wohnort: Karlsruhe
|
|
Hallo zusammen,
TLDR: was genau bringt bei einem Herd der zweite Neutralleiter-Eingang, ist es möglich dadurch zwei separate Leitungen anzuschließen?
ich habe eine Backofen-Ceranfeld Kombination (nicht-autarkes Kochfeld, welches über den Backofen angeschlossen werden muss), habe allerdings keinen Drehstrom in der Wohnung. Es gibt zwei separate einphasige Leitungen zum Herdbereich mit 1x 16A Sicherung und 1x 20A Sicherung. Normalerweise würde man einen separaten Backofen in die 16A Sicherung und ein separates Kochfeld überbrückt an die 20A mit nur einer Phase anschließen. Jetzt habe ich aber leider kein autarkes abgemahnter Begriff feld, sondern muss alles über die 6 Anschlüsse am Backofen anbinden (Phase 1,2,3, Neutralleiter, Neutralleiter, PE), leider habe ich keinen Schaltplan.
Mir ist aufgefallen, dass es zwei Neutralleiter-Anschlüsse am Backofen gibt, die gebrückt sind.
Meine Hoffnung: ein Neutralleiter gilt für zwei Phasen, der andere für die dritte, es sind also zwei komplett separate Stromkreise (1x mit zwei parallelen Verbrauchern, einmal mit nur einem Verbraucher).
Laut Widerstandsmessung ist der Anschluss im Herd wie folgt:
Platte links oben: L1, N1 Platte links unten: L1, N1 Platte rechts oben: L2, N2 Platte rechts unten: L2, N2 Backofen: L3, N2
Meine Frage: Kann ich nun L1 und N1 komplett separat an die 16A Sicherung anschließen und L2 und L3 gebrückt mit N2 an die 20A Sicherung?
Ein Schaltplan eines ähnlichen Modells findet ihr hier: https://document.li/lMRr/
Hier eine Skizze wie ich es gerne anschließen würde (entschuldigt das Design): https://ibb.co/kF2WLa
Vielen Dank für eure Hilfe! |
|
BID = 1014572
elo22 Schreibmaschine
     Beiträge: 1405 Wohnort: Euskirchen
|
|
Ich liebe Doppelposts wie Bauchschmerzen. |
|
BID = 1014578
Mr.Ed Moderator
      
Beiträge: 36322 Wohnort: Recklinghausen
|
Jemand der sich "tuxware" nennt, sollte doch eigentlich die Netiquette zum Thema Crossposting s kennen...
Da aber am Anfang schon TLDR (too long, didn't read) stand, kann man sich das lesen ja sparen.
_________________
-=MR.ED=-
Anfragen bitte ins Forum, nicht per PM, Mail ICQ o.ä. So haben alle was davon und alle können helfen. Entsprechende Anfragen werden ignoriert.
Für Schäden und Folgeschäden an Geräten und/oder Personen übernehme ich keine Haftung.
Die Sicherheits- sowie die VDE Vorschriften sind zu beachten, im Zweifelsfalle grundsätzlich einen Fachmann fragen bzw. die Arbeiten von einer Fachfirma ausführen lassen.
|
BID = 1014581
tuxware Gerade angekommen
Beiträge: 6 Wohnort: Karlsruhe
|
Es tut mir Leid, wenn ich damit gegen eine Regel verstoßen habe, das wusste ich nicht. Das Problem ist, dass ich diese Foren nicht kannte und nicht sicher war welches das aktivste und passendste ist. Wollte damit keinen zusätzlichen Overhead für andere generieren. Ich hatte zunächst auch nur auf einer einzigen Plattform gepostet und eine Woche gewartet, leider haben die Antworten mir nicht wirklich geholfen.
Deswegen dachte ich, ich versuche jetzt mal andere Foren und habe einfach mal gegooglet.
Nächstes Mal werde ich die Antworten eines Forums abwarten bevor ich neu poste. Danke für den Hinweis!
Wäre natürlich trotzdem für einen Tipp zu meiner Frage sehr dankbar!
Gruß
|
BID = 1014585
fuchsi Schreibmaschine
    
Beiträge: 1704
|
Theoretisch währe Dein Anschluß denkbar.
Allerdings ist die Brücke im N-Anschluss (Klemme 4 5) eher dazu da, um an ein Netz mit 230v Dreieckspannung angeschlossen zu werden. (nicht 400V wie üblich). In dem Fall müsste die Brücke entfernt werden.
Und bist Du Dir sicher, dass deine Messung stimmt?
Normalerweise eher L1 (Klemme 1) ,L3 (Klemme 3) - N2 (Klemme 5) und L2 (Klemme 2) - N2 (Klemme 4)
Hat Du zum messen die Brücke 4-5 auch entfernt?
|
BID = 1014592
tuxware Gerade angekommen
Beiträge: 6 Wohnort: Karlsruhe
|
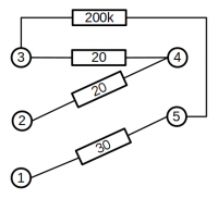
Danke schon mal für die Antwort! Habe eben nochmal nachgemessen (alle Brücken entfernt). Falls keine Verbindung angegeben ist, ist der Widerstand >= 20 MOhm.
Gerät ausgeschaltet:
nirgends Verbindung
Nur Backofen Ober Unter Hitze:
3-4: 20 Ohm
3-5: 200 kOhm
4-5: 200 kOhm
Nur Herdplatte oben links:
3-5: 200 kOhm
1-5: 40 Ohm
1-3: 200 kOhm
Nur Herdplatte unten links:
3-5: 200 kOhm
1-5: 60 Ohm
1-3: 200 kOhm
Nur Herdplatte unten rechts:
2-4: 40 Ohm
3-5: 200 kOhm
Nur Herdplatte oben rechts:
2-4: 30 Ohm
3-5: 200 kOhm
Alles an:
3-4: 20 Ohm
2-4: 20 Ohm
1-4: 200 kOhm
3-5: 200 kOhm
2-5: 200 kOhm
1-5: 30 Ohm
4-5: 200 kOhm
2-3: 40 Ohm
1-3: 200 kOhm
1-2: 200 kOhm
Interessanterweise sind also Phase 2 (Herdplatten rechts) und 3 (Backofen) zusammen an einem Neutralleiter und Phase 1 (Herdplatten links) an dem anderen.
Jetzt wäre halt die Frage, ob ein kleiner Fehlerstrom über die 200 kOhm egal sind, bzw. was schlimmstenfalls passieren kann wenn ich das Gerät an zwei separate Leitungen anschließe.
Was würdet ihr machen?
Danke für die Hilfe!
|
BID = 1014709
tuxware Gerade angekommen
Beiträge: 6 Wohnort: Karlsruhe
|
Habe eben mal versucht die Messung als Schaltung zu visualisieren. Es müssten so doch über alle Widerstände der gleiche Strom fließen, egal wie ich es anschließe (Drehstrom, eine Leitung oder zwei Leitungen)!?
Das einzige Problem das ich sehe, ist dass ein geringer Fehlerstrom über den Neutralleiter an (5) fließt, der von der anderen Zuleitung (2)/(3) kommt. Aber da der so gering ist würde ein FI Schalter nicht mal auslösen.
Oder übersehe ich etwas? Danke nochmal!
|
|
Zum Ersatzteileshop
Bezeichnungen von Produkten, Abbildungen und Logos , die in diesem Forum oder im Shop verwendet werden, sind Eigentum des entsprechenden Herstellers oder Besitzers. Diese dienen lediglich zur Identifikation!
Impressum
Datenschutz
Copyright © Baldur Brock Fernsehtechnik und Versand Ersatzteile in Heilbronn Deutschland
gerechnet auf die letzten 30 Tage haben wir 13 Beiträge im Durchschnitt pro Tag heute wurden bisher 14 Beiträge verfasst © x sparkkelsputz Besucher : 186021388 Heute : 11769 Gestern : 16912 Online : 272 26.10.2025 14:13 13 Besucher in den letzten 60 Sekunden alle 4.62 Sekunden ein neuer Besucher ---- logout ----viewtopic ---- logout ----
|
xcvb
ycvb
0.0402781963348
|